Introduction
GOST 33259-2015 – Steel Pipe Flanges
The Russian standard GOST 33259-2015 establishes the design, dimensions, pressure classes, materials, and tolerances for steel pipe flanges used in pipelines, valves, and fittings. It covers a wide range of nominal diameters (DN 10 to DN 4000) and pressure ratings (PN 2.5 to PN 250). The standard specifies various flange types (welding neck, slip-on, lap joint, threaded, blind, etc.) and sealing face forms (flat face, raised face, ring-type joint, groove and tongue). GOST 33259-2015 harmonizes with ISO and EN 1092-1 practices while maintaining compatibility with Russian industrial requirements. It is widely applied in oil, gas, chemical, power, and water industries across Russia and CIS countries
Catalog
- Flange types
- Flange facing
- Applicability of flange
- Facing dimensions
- Dimensions of Steel & Iron flange
- 6.2 The dimensions (type 02) of the steel plate flange on the welding ring are shown in Figure 5 and Table 4. Line 1 is preferred.
- 6.3 The dimensions of steel flat flanges during demolding (type 03) and the dimensions of welding connections (type 04) are shown in Figure 6 and are given in Table 5.
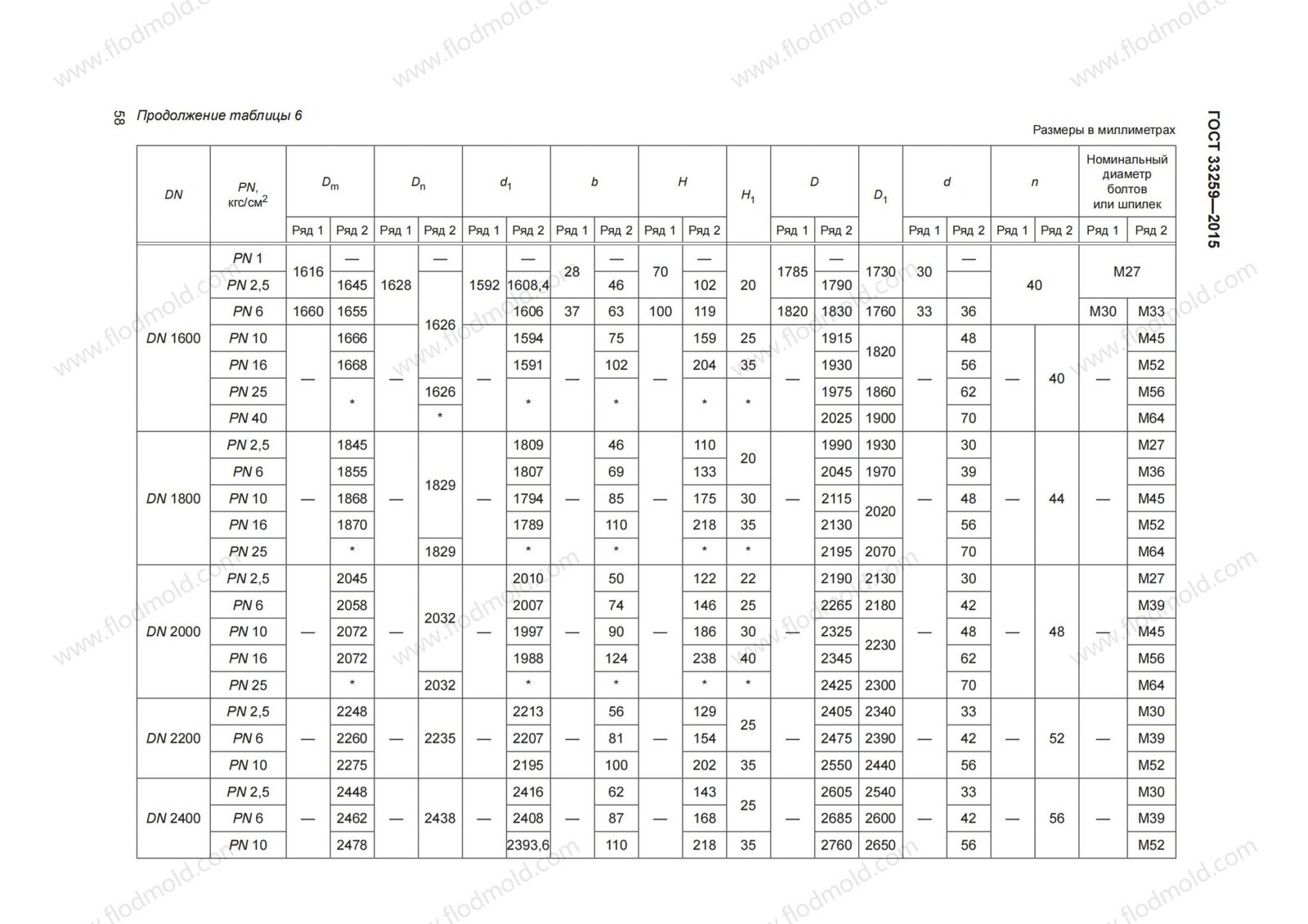
- 6.4 The flange dimensions of the steel welded joint (type 11) are shown in Figure 7 and Table 6. Series 1 is the first choice.
- 6.5 The size of steel casting flange (type 21) is given in Figures 8 and Table 7. Line 1 is preferred.
- 6.6 The dimensions (type 21) of the gray cast iron flange are given in Figures 9 and Table 8. Line 1 is preferred.
- 6.7 The dimensions (type 21) of the forged cast iron flange are given in Figures 10 and Table 9. Line 1 is preferred.
- 6.8 All models of flanges (except for the second row flanges) are allowed to make square flanges at a rated pressure not exceeding RN40.











































































Have You Any Question?
What to do if Mixed Materials are found in the project?
When materials get mixed up, it’s like building a Lego set with wrong pieces eventually everything falls apart.
The only viable solution requires 100% PMI testing on every individual flange using calibrated XRF analyzers, eliminating material certification risks through a certified processes.
Every factory out there claims they check their flanges with those XRF guns Piece by Piece. In all of Tsingshan Group’s backyard, only 3 manufacturers actually full-test every piece. We’re one of them.
Why Small Foundries happen the mix-ups?
These monster forging machines won’t start unless you order over 15 tons , like buying 100 pens when you need 10 . Factories have to mash together different steel batches.
Keeping materials separate costs small foundries 28% extra, like trying to sort Legos with a toddler wrecking them daily.
6/10 suppliers can’t track materials properly, it’s shipping mystery boxes that’ll bite us when things go wrong.
What is the standard lead time for orders? How do you handle delays caused by emergencies (e.g., pandemics, logistics disruptions)?
The standard lead time is 1 week, adjusted based on product complexity and order volume.
For unexpected risks, we implement the following measures:
—-Maintain backup suppliers and diversified logistics channels.
—-Monitor supply chain status in real time and provide early warnings to customers.
—-Prioritize critical orders and offer expedited service options.
What specific quality control steps are implemented during production?
Three-tier QC system:
—-Incoming Quality Control (IQC): Verify raw material specifications and certifications.
—-In-Process Quality Control (IPQC): Sample-test key parameters at each production stage.
—-Outgoing Quality Control (OQC): 100% visual/functional inspection, packaging checks, and destructive testing on samples.
—-Use SPC (Statistical Process Control) and automated inspection tools to ensure consistency.
How do you continuously improve product quality and on-time delivery rates?
Data-driven approach: Monthly analysis of customer complaints, return rates, and delivery performance.
PDCA Cycle (Plan-Do-Check-Act): Implement process upgrades or supplier training based on findings.
Closed-loop feedback: Regularly survey customer satisfaction and integrate results into KPI evaluations.
Intended Use: Suitable for supplier manuals, contract annexes, official websites, or sales communication to enhance client trust and reduce collaboration friction.
Need a Help?
Choose your Stainless Steel Flange with best reputable.